搜索
导航
首页
研究院概况
研究院简介
组织机构
联系我们
科研体系
量子通信研究部
量子计算研究部
量子精密测量研究部
工程技术支撑部
科研成果
研究进展
论文专著
2020
2019
2018
2017
2016
2015
2014
2013
奖励荣誉
2020
2019
2018
2017
2016
2015
科研队伍
队伍简介
人才招聘
招聘信息
新闻公告
新闻动态
媒体关注
通知公告
学术报告
前沿动态
党群建设
党群动态
学习之窗
首页
新闻公告
新闻动态
新闻公告
新闻动态
媒体关注
通知公告
学术报告
新闻动态
中国科学家在基于光和超导体系的量子计算机研究方面取得系列重要进展
2017-05-03
近日,中国科大潘建伟教授及其同事陆朝阳、朱晓波等,联合浙江大学王浩华教授研究组,在基于光子和超导体系的量子计算机研究方面取得系列重要进展。在光学体系,研究团队在去年首次实现十光子纠缠操纵的基础上,...
中国科大研究团队首次在室温固态体系中实验实现绝热量子质因数分解
2017-04-28
中国科大杜江峰院士课题组利用金刚石中的自旋作为量子处理器,首次在室温大气条件下实现了基于固态单自旋体系的质因数分解量子算法。研究成果发表在3月31日的《物理评论快报》上 [Phys. Rev. Lett. 118, 130504 ...
中国科大实验实现量子相干性蒸馏
2017-04-27
近日,中国科大郭光灿院士领导的中科院量子信息重点实验室在量子相干性实验研究方面取得重要进展,实验室李传锋、项国勇研究组首次实验实现了基于辅助比特的量子相干性蒸馏。该研究成果在线发表在最近一期的美国...
中国科大理论预言首类结构稳定的单层二维铁电材料
2017-04-15
近日,中国科大合肥微尺度物质科学国家实验室国际功能材料量子设计中心及物理系朱文光研究组与校内外同行合作,通过理论计算预言了首类同时具有面内和面外极化且单层稳定的二维铁电材料。该研究成果以“Predicti...
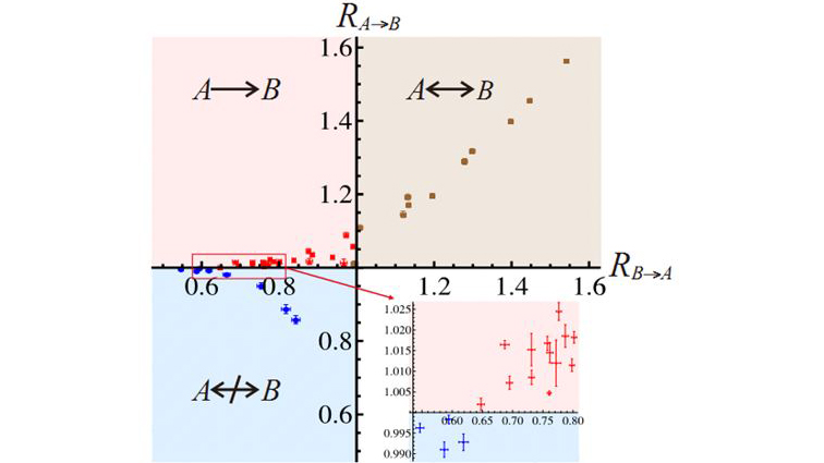
中国科大首次在两比特系统中观测到严格的单向量子导引
2017-04-12
中国科大郭光灿院士领导的中科院量子信息重点实验室在量子力学基础研究方面取得重要进展,该实验室李传锋、许金时研究组在两比特系统中首次在实验中观测到多种测量设置的单向EPR量子导引。该研究成果4月5日发表...
最高人民法院院长周强调研中国科大先进技术研究院
2017-04-12
4月6日上午,最高人民法院院长周强调研中国科大先进技术研究院。最高人民法院审判委员会副部级专职委员、第二巡回法庭厅长胡云腾,安徽省委常委、政法委书记姚玉舟,安徽省高院党组书记、院长张坚,合肥市市长凌...
中共中央政治局委员、国务院副总理刘延东考察中国科大先进技术研究院
2017-03-28
3月25日上午,中共中央政治局委员、国务院副总理刘延东考察中国科学技术大学先进技术研究院,并出席教育工作座谈会。国务院副秘书长江小涓,国家卫生和计划生育委员会主任李斌,科技部党组书记、副部长王志刚,...
合肥综合性国家科学中心暨量子信息与量子科技创新研究院建设动员大会在肥召...
2017-03-15
2月27日上午,合肥综合性国家科学中心暨量子信息与量子科技创新研究院建设动员大会在合肥召开。中共中央政治局委员、国务院副总理刘延东作出批示。安徽省委书记李锦斌出席会议并讲话,省长李国英主持会议并宣读...
潘建伟院士代表九三学社中央作政协大会发言
2017-03-15
3月10日,全国政协十二届五次会议在北京人民大会堂举行第三次全体会议。新华社记者 张铎 摄潘建伟院士在大会发言。新华社记者 王晔 摄 3月10日,全国政协十二届五次会议在北京人民大会堂举行第三次全体会议。全国...
中国科大在低维量子结构的制备和物性研究取得系列新进展
2017-03-03
近日,中国科大合肥微尺度物质科学国家实验室国际功能材料量子设计中心与中科院强耦合量子材料物理重点实验室曾长淦教授研究组,成功制备强关联体系单晶纳米线和原子尺度的二维范德瓦尔斯异质结,并发现其物性被...
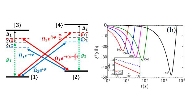
中国科大提出双轴自旋压缩态新方案 可望在精密测量领域获得应用
2017-02-27
中国科大郭光灿院士领导的中科院量子信息重点实验室在自旋压缩研究方面取得重要进展。该实验室周正威等在单个光学微腔中利用相位锁定技术,提出了产生双轴自旋压缩态的新方案。相关研究成果2月24日发表在《物理...
中国科大提出在单个简并腔系统中模拟拓扑物理的新方案
2017-02-27
中国科大郭光灿院士领导的中科院量子信息重点实验室在量子模拟方面取得重要进展。该实验室周正威、周祥发等提出了一种只需要单个简并腔就可以模拟重要拓扑物理机制的新方案,从而大大简化了在光学谐振腔系统中仿...
教育部副部长杜占元一行调研量子信息与量子科技前沿协同创新中心
2017-02-27
2月23日上午,教育部副部长杜占元一行到中国科大调研考察量子信息与量子科技前沿协同创新中心,教育部科技司王延觉司长、中共安徽省委教育工委书记张岳峰、我校常务副校长潘建伟、副校长朱长飞等陪同调研。 ...
上海市副市长赵雯一行调研中国科大上海研究院
2017-02-20
2月16日下午,上海市副市长赵雯一行赴中国科大上海研究院调研考察中科院量子信息与量子科技前沿卓越创新中心科研工作,上海市政府副秘书长、浦东新区区委书记翁祖亮和中国科大常务副校长潘建伟等陪同调研。 ...
每页
14
记录
总共
753
记录
第一页
<<上一页
下一页>>
尾页
页码
38
/
54
跳转到